Nazwa tej grupy związków jest wynikiem stwierdzenia, że nazwa oryginalna (zwitterionidy) nie jest dobra. Być może i nowa nazwa nie jest dobra, ale wyróżnia się jakoś i niech tak zostanie.
Opisana tu seria związków jest uproszczoną wersją grupy bez nazwy C108N12. Na początku obliczeń przyjrzałem się tetracyklicznemu makrocyklowi pokazanemu poniżej (Orca 4.2.1/ B3LYP/ def2-SVP/ hess-plus):
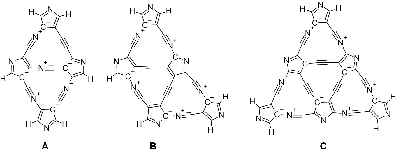
Strukturę tę starałem się rozbudować o kolejne cykle, które pokazałem na rysunku poniżej:

Okazało się jednak, że rozbudowa prowadzi do geometrii, które po optymalizacji wykazują ujemne częstości. Dla cząsteczki A na poziomie półempirycznym (Orca 4.2.1/ PM3/ hess-minus). Dla cząsteczki B (parametry obliczeń jak poprzednio). Z cząsteczką C miałem więcej kłopotów. Na poziomie półempirycznym cząsteczka dała się zrelaksować (Orca 4.2.1/ PM3/ hess-plus oraz Orca 6.0.0/ XTB/hess-plus). Jednakże podniesienie poziomu na DFT i wykonanie optymalizacji pokazywało brak relaksacji. I to mimo usilnych prób modyfikacji wyjściowej geometrii wyjściowej na podstawie zachowania się częstości ujemnej (Orca 6.0.0/ revPBE/ def2-TZVP/ hess-minus).
Można powiedzieć, że te wyniki mają charakter porażki koncepcyjnej. Nie dawało mi jednak spokoju zachowanie się częstości ujemnych w modelu C. Zaryzykowałem jego rozbudowę w taki sposób aby uzyskać struktury owalne. Wyniki tych prac zostaną przedstawione w następnej części.
Swetereny2 – klik – (7 sierpnia 2024)